Логи бензиновых двигателей (снятие и чтение)
Модератор: Atrusha
-
ursul
- Мастер

- Всего сообщений: 2077
- Зарегистрирован: 16.06.2017
- Вод.стаж с: 2001
- Откуда: АРК
- Авто: Sharan 96 ADY DBU
Re: Логи бензиновых двигателей (снятие и чтение)
А по аду не нарили какие группи снимать?
Трижди снимавший торпеду шарана
-
kokos
- Новичок
- Всего сообщений: 9
- Зарегистрирован: 27.07.2018
- Вод.стаж с: 2002
- Откуда: РФ г.Великие Луки
- Авто: VW Sharan VR6, AMY, 1998 г.в, МКПП(5)
Re: Логи бензиновых двигателей (снятие и чтение)
Добрый день. Промыл ДЗ, ХХ по ощущениям стал тише и ровнее, ошибок нет. Не понял про "расшевелить калитку", что надо сделать? Похоже что с "лейблами" что то не углядел, сейчас удалил из васи, все похожие, буду пробовать переснять еще раз.
Но посмотрите пожалуйста и эти может что видно будет.
Отправлено спустя 9 минут 17 секунд:
В ходе заездов обнаружил следующее на второй передаче можно раскрутить более 4000 и далее уже следует "отсечка",
но это совсем другое чем, на третьей пытаться до нее раскрутить в районе 1500 начинается "бу-бу-бу" и дальше ну никак, я бы сказал что ее никогда и не было (отсечки).
Но посмотрите пожалуйста и эти может что видно будет.
Отправлено спустя 9 минут 17 секунд:
В ходе заездов обнаружил следующее на второй передаче можно раскрутить более 4000 и далее уже следует "отсечка",
но это совсем другое чем, на третьей пытаться до нее раскрутить в районе 1500 начинается "бу-бу-бу" и дальше ну никак, я бы сказал что ее никогда и не было (отсечки).
-
kokos
- Новичок
- Всего сообщений: 9
- Зарегистрирован: 27.07.2018
- Вод.стаж с: 2002
- Откуда: РФ г.Великие Луки
- Авто: VW Sharan VR6, AMY, 1998 г.в, МКПП(5)
Re: Логи бензиновых двигателей (снятие и чтение)
Снес все лейблы (021-906....) оставив только лейбл от Вадима, все равно есть разница с описанием групп.
и совсем запутался какие группы надо снимать.
и совсем запутался какие группы надо снимать.
-
Cateika
- Главный электрик форума

- Всего сообщений: 4041
- Зарегистрирован: 25.03.2013
- Вод.стаж с: 1987
- Откуда: KZ, г.Рудный
- Авто: VW Sharan, 1997, AHU, 1,9 МКПП DBW, VinDisel.
Re: Логи бензиновых двигателей (снятие и чтение)
По скринам, видно, что он его не подхватил...
С каким названием "новый" подкинутый лейбл ??? (021-906-256-AAA.LBL) и проверить в файлике "02-01.LBL", на какой лейбл-файл "натравливает" ВагКому, когда находит именно ваш моторный блок 021-906-256-AD ???
При соединении с вашим блоком, ВагКома "подхватил" новый лейбл ???
По скринам, видно, что он его не подхватил...
С каким названием "новый" подкинутый лейбл ??? (021-906-256-AAA.LBL) и проверить в файлике "02-01.LBL", на какой лейбл-файл "натравливает" ВагКому, когда находит именно ваш моторный блок 021-906-256-AD ???
Последний раз редактировалось Cateika 10 авг 2018, 17:38, всего редактировалось 1 раз.
-
kokos
- Новичок
- Всего сообщений: 9
- Зарегистрирован: 27.07.2018
- Вод.стаж с: 2002
- Откуда: РФ г.Великие Луки
- Авто: VW Sharan VR6, AMY, 1998 г.в, МКПП(5)
Re: Логи бензиновых двигателей (снятие и чтение)
вот содержание файла 02-01, видимо надо добавить запись на новый лейбл.
имеют ли важность данный: SR,177,HP ?
имеют ли важность данный: SR,177,HP ?
-
Cateika
- Главный электрик форума

- Всего сообщений: 4041
- Зарегистрирован: 25.03.2013
- Вод.стаж с: 1987
- Откуда: KZ, г.Рудный
- Авто: VW Sharan, 1997, AHU, 1,9 МКПП DBW, VinDisel.
Re: Логи бензиновых двигателей (снятие и чтение)
Это шапка, добавив сюда какую либо запись = ничего не произойдёт...
Действующие записи будут использована прораммой - ниже... типа:
;
REDIRECT,021-906-256-AAA.LBL,021-906-256-AC ; ??? (??)
REDIRECT,021-906-256-AAA.LBL,021-906-256-AD ; AMY (7M)
;
... строчка REDIRECT... (перенаправление)... начало строки = без ";"(тчк.зпт.), т.е. строка НЕзакоментирована и программа берёт её в работу... (на ЗАкоментированные строчки - программа "не обращает внимания"...)
Короче, подключившись, программа находит ваш блок 021-906-256-AD, и по файлу редиректа "02-01" (если в нём есть запись об этом блоке), для него подхватывает лейбл-файл с названием: "021-906-256-AAA.LBL" ... Если переименовать 021-906-256-AAA.LBL в 021-906-256-AMY.LBL и прописать в 02-01:
REDIRECT,021-906-256-AMY.LBL,021-906-256-AD ; AMY (7M)
...тогда, соединившись с вашим блоком ВагКома(ВАСЯ, VCDS и т.п.) подхватит указанный в редиректе лейбл-файл и он будет отображён в верхнем левом углу окна, когда есть подключение к ЭБУД, там надпись ."Лейбл:"...и где прочая инфа по блоку, типа, ваг номер, компонент, кодирование и пр. ...
Принцип = несложный для восприятия...
... Всё получится !!!
Действующие записи будут использована прораммой - ниже... типа:
;
REDIRECT,021-906-256-AAA.LBL,021-906-256-AC ; ??? (??)
REDIRECT,021-906-256-AAA.LBL,021-906-256-AD ; AMY (7M)
;
... строчка REDIRECT... (перенаправление)... начало строки = без ";"(тчк.зпт.), т.е. строка НЕзакоментирована и программа берёт её в работу... (на ЗАкоментированные строчки - программа "не обращает внимания"...)
Короче, подключившись, программа находит ваш блок 021-906-256-AD, и по файлу редиректа "02-01" (если в нём есть запись об этом блоке), для него подхватывает лейбл-файл с названием: "021-906-256-AAA.LBL" ... Если переименовать 021-906-256-AAA.LBL в 021-906-256-AMY.LBL и прописать в 02-01:
REDIRECT,021-906-256-AMY.LBL,021-906-256-AD ; AMY (7M)
...тогда, соединившись с вашим блоком ВагКома(ВАСЯ, VCDS и т.п.) подхватит указанный в редиректе лейбл-файл и он будет отображён в верхнем левом углу окна, когда есть подключение к ЭБУД, там надпись ."Лейбл:"...и где прочая инфа по блоку, типа, ваг номер, компонент, кодирование и пр. ...
Принцип = несложный для восприятия...
Последний раз редактировалось Cateika 13 авг 2018, 13:40, всего редактировалось 1 раз.
-
Автор темы11piligrim11
- Супермодератор

- Всего сообщений: 7544
- Зарегистрирован: 12.03.2013
- Вод.стаж с: 1995
- Откуда: г.Минск
- Авто: VW Sharan, 1.8 20V Turbo, AWC 2001 г.в. Мешалка
- Возраст: 48
Re: Логи бензиновых двигателей (снятие и чтение)
kokos, почему опять тапку не давишь в пол? Заслонка открыта только на 80%. А должна быть на 100. У тебя под педалью газа есть ограничитель. Вкрути его в пол до упору.
Ни что не радует так, как то, что сделано собственными руками.
11piligrim11
11piligrim11
-
kokos
- Новичок
- Всего сообщений: 9
- Зарегистрирован: 27.07.2018
- Вод.стаж с: 2002
- Откуда: РФ г.Великие Луки
- Авто: VW Sharan VR6, AMY, 1998 г.в, МКПП(5)
Re: Логи бензиновых двигателей (снятие и чтение)
Вадим спасибо!
Вроде получилось. Группы снимать те что в начале темы?
По поводу ДЗ, когда ее чистил обратил внимание на значительный провис тросика, возможно из за этого дальше не открывает попробую подтянуть да закрутить ограничитель. Спасибо!
Вроде получилось. Группы снимать те что в начале темы?
По поводу ДЗ, когда ее чистил обратил внимание на значительный провис тросика, возможно из за этого дальше не открывает попробую подтянуть да закрутить ограничитель. Спасибо!
-
kokos
- Новичок
- Всего сообщений: 9
- Зарегистрирован: 27.07.2018
- Вод.стаж с: 2002
- Откуда: РФ г.Великие Луки
- Авто: VW Sharan VR6, AMY, 1998 г.в, МКПП(5)
Re: Логи бензиновых двигателей (снятие и чтение)
Добрый день, удалось таки снять логи, вот что получилось.
Ограничитель выкручен совсем, внизу только ковролин, но все равно показывает 82%.
Можно ли увидеть неиспаваности.
Ограничитель выкручен совсем, внизу только ковролин, но все равно показывает 82%.
Можно ли увидеть неиспаваности.
-
Петр
- Интересующийся

- Всего сообщений: 22
- Зарегистрирован: 19.09.2018
- Вод.стаж с: 1998
- Откуда: г.Шахты Ростовская область
- Авто: AUDI A4B6 1.8T BFB
Re: Логи бензиновых двигателей (снятие и чтение)
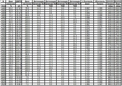
Форумчане...помогите разобраться с логами...сильная детонация и ДМРВ мало покзывает (машина чипованная)
Отправлено спустя 12 минут 27 секунд:
Еще логи вдогонку
Отправлено спустя 12 минут 27 секунд:
Еще логи вдогонку
-
- Похожие темы
- Ответы
- Просмотры
- Последнее сообщение
-
- 25 Ответы
- 15794 Просмотры
-
Последнее сообщение newmiha
-
- 302 Ответы
- 56246 Просмотры
-
Последнее сообщение Vadomir
-
- 0 Ответы
- 4779 Просмотры
-
Последнее сообщение Dzhakhongir
-
- 110 Ответы
- 29030 Просмотры
-
Последнее сообщение Viodko
-
- 6 Ответы
- 11469 Просмотры
-
Последнее сообщение Vadomir
Мобильная версия